地科學院張文文在《資源開發與市場》發表題為“基于航空流的中國城市網絡結構特征演變研究”的研究論文。永利6774app手机版官网為論文第一署名單位,教師雷中英為論文通訊作者。
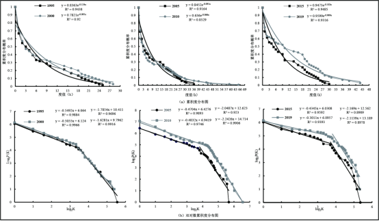
論文通過1995、2000、2005、2010、2015、2019年中國航空統計數據,采用複雜網絡分析方法和地理探測器方法,探究中國城市網絡結構特征和演變規律,并對驅動因素進行分析,研究結果表明:①中國城市網絡具有明顯的小世界性和一定的類無标度特征,城市網絡規模不斷擴散。②全國城市數量不斷增加,中國城市網絡呈現多中心、均衡化發展趨勢。③中國城市網絡逐漸形成”菱形結構“的核心框架,并顯現兩頭高中間低的鞍型結構。④城市網絡聯系強度不斷提高,形成4個聯系層次,城市網絡呈現明顯的等級層次結構。⑤城市網絡結構的演變受多重因素共同驅動,城市行政等級、旅遊總收如和地方生産總值是影響城市網絡結構的主要因素。



